L’eau, cet élément simple si vital pour le bassin à koi!

La représentation chimique de l’eau

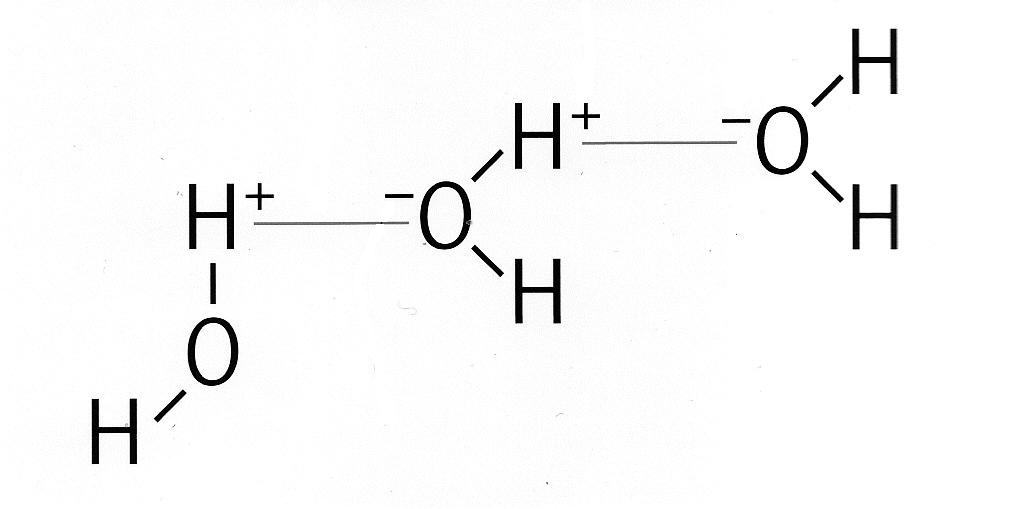
La représentation chimique : H²O, mais aussi H+ et OH-, elle est composée d’un atome d’oxygène : O et de deux atomes d’hydrogène : H

Chimie de l'eau

La molécule d’eau a un caractère dipôle : elle présente un côté négatif (vers l’atome d’oxygène) et un côté positif (vers l’atome d’hydrogène).

Ce phénomène permet des combinaisons très courtes entre les molécules d’eau. Ces combinaisons vont devenir plus fortes et plus stables en dessous de 0° tout en éloignant les atomes l’un de l’autre. La densité de l’eau est donc plus faible quand elle est gelée, ce qui explique qu’un glaçon flotte.

Densité de l'eau
La forme liquide et la forme solide

La densité de l’eau est à son maximum à une température de 3,98 °C. Ce phénomène est très important dans la nature, car il permet la présence d’une eau autour de 4 °C en profondeur.

Le pouvoir de dilution de l’eau

L’eau permet la dilution de beaucoup d’autres composés tels que :

  • Des gaz :
    • Le gaz carbonique : CO²
    • l’oxygène : O²
    • L’azote : N²
  • Des sels minéraux 

La dilution des gaz dépend de la température de l’eau et diminue avec la montée de température. Cette variation dépend aussi dans une moindre mesure de la pression barométrique, de la hauteur par rapport au niveau de la mer et de la salinité de l’eau.

Le PH de l’eau

Le Ph est la concentration en ion H+ dans un liquide

  • Une concentration de 10-7mol/l : un ion H+ pour 10000000 molécules d’eau et représente un PH de 7
  • Une concentration de 10-4mol/l : un ion H+ pour 10000 molécules d’eau et représente un PH de 4
  • Une concentration de 10-9mol/l : un ion H+ pour 1000000000 molécules d’eau et représente un PH de 9

Cela montre que le passage d’un PH 7 vers un PH 8 représente la présence de 10 x moins d’ion H+ dans l’eau

Un PH de 7 est dit neutre, au-dessus le PH est basique et en dessous il est acide. Dans le bassin, le PH devrait se situer entre 6 et 9 pour les poissons et entre 6 et 8 pour les bactéries nitrifiantes.

Le taux d’oxygène dans l’eau

Il dépend directement de la température de l’eau et, dans une moindre mesure, de la pression atmosphérique, de la hauteur et de la salinité de l’eau.

O² : 14,5 mg/l à 0 °C — 11,1 mg/l à 10 °C — 8,9 mg/l à 20 °C – 7,2 mg/l à 30 °C

L’oxygène dissous dans l’eau est fourni par les échanges gazeux entre la surface de l’eau et l’atmosphère, mais aussi par la photosynthèse des plantes sous-marines.

L’oxygène est éliminé de l’eau par la respiration de tous les organismes présents : animaux, bactéries, végétaux. Pour couvrir les besoins en oxygène des poissons et des bactéries du filtre, il ne faut jamais passer sous 6,5 mg/l et cela de façon constante.

Le taux d’azote de l’eau

Il dépend de la température de l’eau.

N² : 22,4 mg/l à 0 °C – 17,5 mg/l à 10 °C – 14,2 mg/l à 20 °C – 11,9 mg/l à 30°

L’azote provient des échanges gazeux à la surface de l’eau et de la production des bactéries dénitrifiantes. L’azote n’est pas directement consommé par les organismes présents dans l’eau et ne peut être diminué que par diffusion dans l’atmosphère. Il faut impérativement éviter une sursaturation d’azote dans l’eau, car cela va provoquer un œdème gazeux à vos poissons.

Le taux de gaz carboniques dans l’eau

Il dépend aussi de la température de l’eau

CO² : 1,005 mg/l à 0 °C — 0,70 mg/l à 10 °C — 0,51 mg/l à 20 °C – 0,38 mg/L à 30 °C

Il dépend aussi du PH de l’eau et de la dureté carbonée de l’eau : voir aussi CO²

Des 3 gaz, le gaz carbonique est le plus volatile et le plus rapidement éliminé de l’eau. Une valeur comprise entre 5 et 15 mg/l est optimale pour les kois : le gaz carbonique.

La dureté carbonée

Elle représente la présence d’ion calcaire Ca+ dans l’eau. Elle est associée avec l’ion HCO3- sous sa forme soluble ou présente sous forme de dépôt blanc sur les parois des bassins dans sa forme insoluble. La dureté carbonée est souvent exprimée en degré allemand voir aussi CO². Une valeur élevée est automatiquement liée à un PH élevé. Pour les kois, une valeur comprise entre 3 et 15° peut être considérée comme bonne. Il faut surtout faire attention à ce que la pluie ne provoque pas une chute trop brutale du PH dans un petit bassin avec un KH trop faible.

La dureté générale

Elle représente la somme de tous les ions présents dans l’eau, pour l’essentiel : K, Mg, Ca, Na.
Elle est mesurée en degré allemand.
Une valeur trop élevée est un signe d’excès de sels minéraux et nécessite un changement d’eau.

Les composés azotés

On les retrouve dans les différents stades de la transformation des protéines dans le cycle de l’azote.

  • Ammoniac/ammonium : NH3/NH4-
    l’ammoniac est un gaz qui provient du métabolisme des êtres vivants lors de la combustion des protéines, c’est un poison pour les kois. L’ammonium, ion négatif, est beaucoup moins dangereux pour les poissons. Plus le PH est bas et moins il y a d’ammoniac, à partir d’un PH 8 le pourcentage d’ammoniac monte, et cela de façon exponentielle pour devenir très dangereux : pour 0,2 mg/l d’ammonium et pratiquement 0,0 mg/l d’ammoniac à PH 7 cela passe à 0,15 mg/l d’ammonium et 0,05 mg/l d’ammoniac à PH 9. La valeur idéale est de 0,0 mg/l et il ne faut pas dépasser 0,5 mg/l avec un PH de 7.
  • Nitrite : NO²-
    Le premier stade de la nitrification. Sa présence représente un danger, car elle empêche les échanges gazeux au niveau des ouïes et surtout le passage de l’oxygène. Des concentrations de 0,5 mg/l freinent déjà ces échanges gazeux. La valeur idéale est de 0.mg/l sans jamais dépasser 0,1 mg/l.
  • Nitrate : NO3-
    le nitrate est le dernier stade de la nitrification. Sa présence n’est pas dangereuse pour les poissons, mais une concentration importante >50 mg/l peut freiner la croissance des poissons.

Le phosphore

Cet élément est nécessaire pour le métabolisme des êtres vivants. Il peut être présent dans l’eau de remplissage, mais c’est essentiellement par la nourriture qu’il est introduit dans le bassin. Un taux proche de zéro est idéal, car les algues se développent dès 0,3 mg/l de phosphore dans l’eau. Sa présence dans l’eau peut prendre différentes formes :

  • Le phosphate : PO4—
    Il peut se présenter sous 2 formes d’orthophosphates suivant le PH : HPO4– ou H² PO4
    Les algues utilisent essentiellement le H² PO4 qui est présent avec un PH basique, une concentration de 0,03 mg/l de phosphate leur suffit déjà…
  • Le phosphore
    C’est la forme organique très présente dans les organismes vivants et les plantes ainsi que dans les sédiments.
    Cette forme ne peut pas être directement utilisée par les algues, mais le phosphore peut à nouveau se transformer en phosphate dans de mauvaises conditions (manque d’oxygène, changement brusque de PH,…).

Le chlore

Cet élément peut se présenter sous deux formes :

  • Le chlore : CL²
    C’est un gaz qui se dissout bien dans l’eau jusqu’à 7000 mg/l et qui a une action désinfectante. Mais c’est aussi un poison pour les organismes vivants, une concentration de 0.1mgt/l peut déjà détruire les ouïes. Le chlore peut se combiner à l’ammonium pour se transformer en chloramine dangereuse et difficilement éliminable de l’eau.
  • L’ion chlorite : CL-
    Cet ion se trouve toujours en association avec un anion : Na+ pour le sel ou H+ pour l’acide chlorhydrique par exemple. Il est essentiellement apporté dans la nourriture. Un changement régulier d’eau et le maintien à un niveau peu dangereux.

La conductivité

Les ions et les sels présents dans l’eau rendent l’eau conductible (la capacité à laisser passer un courant électrique). Cette conductivité peut être mesurée et est exprimée en µS/cm. Cette mesure ne donne qu’une approche de la quantité de sels et d’ions présents dans l’eau sans quantification réelle. Des valeurs comprises entre 100 et 1000 µS/cm sont normales dans un bassin. Une eau avec une valeur trop faible sera pauvre en sels minéraux et peu propice au développement des organismes vivants. Une valeur élevée peut être le signe d’une eau trop chargée (souvent en nitrate) qui doit être renouvelée pour éviter un excès de sels néfastes à la croissance des poissons.

Le potentiel redox

Les réactions chimiques qui se produisent dans l’eau provoquent toujours un échange d’électron. Quand un électron se fixe sur un élément, on parle de réduction et quand il s’échappe d’un élément d’oxydation. Ce phénomène se produit de façon constante dans un sens et dans l’autre et c’est pourquoi on parle d’oxydoréduction ou redox.

Le potentiel redox se mesure en mV (millivolt). La valeur en elle-même ne peut pas être interprétée. C’est sa variation dans le temps qui va donner une indication sur le milieu et notamment si celui-ci est plutôt oxydant ou plutôt réducteur. Plus un bassin sera propre, bien oxygéné, avec un filtre efficace et plus le redox sera élevé. Plus un bassin aura des zones mortes, un filtre surchargé et plus le redox sera bas. Une valeur redox entre 250 et 300 mV est idéale pour un bassin. Entre 300 et 400 mV le bassin aura une diminution sensible des pathogènes nuisible aux kois.

La demande en oxygène biologique : DBO5

La DBO est la quantité d’oxygène nécessaire aux micro-organismes présents dans un milieu pour oxyder (dégrader) les substances organiques contenues dans un échantillon d’eau maintenu à 20°et dans l’obscurité, pendant 5 jours. Ce paramètre constitue un bon indicateur de la teneur en matière organique biodégradable d’une eau naturelle polluée ou d’une eau résiduaire. Deux échantillons sont nécessaires : le premier sert à la mesure de la concentration initiale en oxygène, le second à la mesure de la concentration résiduaire en oxygène au bout de 5 jours. La DBO5 est la différence entre ces 2 concentrations. Plus la différence est grande et plus le milieu est demandeur en oxygène et donc mal équilibré, car les déchets à transformer sont trop importants.